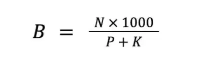
Как сообщила Binance в блоге, вместо ежеквартального уничтожения монет BNB будет использоваться проверяемый механизм BNB Auto-Burn, работающий независимо от выручки, полученной на централизованной бирже Binance за счет использования BNB. Его действие будет автоматически корректироваться, поэтому количество монет для сжигания основано на цене BNB, отражающей спрос и предложение на них. Кроме того, будет учитываться число блоков, созданных в течение квартала, которое станет рассчитываться на основе информации о цепочке. Формула выглядит следующим образом:

B — количество BNB для уничтожения. N — общее количество блоков, созданных в Binance Smart Chain (BSC) в течение календарного квартала. Время создания блока в BSC составляет около 3 секунд, поэтому количество блоков, произведенных за час, будет насчитывать около 1200 (3600 секунд в час делим на 3). Учитывая, что в календарном квартале три месяца, N равняется 3600 ÷ 3 × 24 × 30 × 3 = 2 592 000, где 24 — количество часов в день, 30 — количество дней в месяце, а 3 —количество месяцев в квартале.
P — средняя цена BNB в долларах США. Речь идет о среднем значении выборки ценового оракула на BSC (к примеру, ChainLink), частота выборки будет составлять 10 000 блоков, что сейчас эквивалентно примерно 8.3 часам.
K — постоянное значение в качестве «ценового якоря», изначально установленное на уровне 1 000. Действие механизма будет остановлено, когда общая циркуляция BNB станет ниже 100 млн. Это значение может изменяться с помощью предложения BEP и голосования сообщества.
Ниже на диаграмме представлена ожидаемая сумма ежеквартального автоматического сжигания монет при среднем курсе BNB. После внедрения механизма BNB Auto-Burn, прогнозируемая сумма сжигания, которая будет рассчитываться по вышеуказанной формуле, станет общедоступной.

Напомним, что в октябре Binance провела семнадцатое ежеквартальное сжигание монет, уничтожив 1.3 млн BNB на рекордную сумму $640 млн.
